Anche oggi vediamo qualche altro esercizio sugli alberi genealogici.
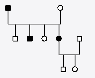
Esercizio 6
L'albero genealogico rappresenta un'eredità dominante. Quali di queste affermazioni sono corrette:
a) Il maschio della I generazione (I-1) è eterozigote
b) Il maschio della I generazione (I-1) è omozigote recessivo
c) La femmina della I generazione (I-2) è eterozigote
d) Il maschio sano (II-1) della II generazione è eterozigote
e) Il carattere è legato al sesso
f) Il carattere è sui cromosomi autosomi
Soluzione e Spiegazione
Le risposte corrette sono la a e la f
Il tratto è sicuramente legato ai cromosomi autosomi. Non può essere diversamente. Se si trattasse di un tratto legato al cromosoma X il padre non avrebbe potuto trasmetterlo al figlio maschio. Inoltre tutte le figlie femmine manifesterebbero la malattia.
A a
a Aa aa
aAa aa
50% Aa figli/e malati/e Il genitore malato trasmette la malattia alla metà dei figli.50% aa figlio/a sani/e
La figlia malata è sicuramente Aa. Il marito è sano, omozigote recessivo: si ripropone, quindi, lo stesso meccanismo di trasmissione che ho appena illustrato nella tabella. La coppia ha avuto solo due figli ed è plausibile che siano entrambi sani, omozigoti recessivi, come il padre e gli zii.
Esercizio 7

Quale o quali dei figli fanno escludere un'eredità del carattere legata al cromosoma X recessiva?
a) I-1 e II-4
b) II-5
c) II-3
d) II-2 e II-4
Soluzione e Spiegazione
La risposta corretta è la b
Ipotizziamo il tipo di trasmissione richiesta nell'esercizio: recessiva legata al cromosoma X
X Y
X XX XY
X XX XY
100% figlie femmine sane (portatrici sane) 100% maschi malatiQuindi l'unico elemento che non concorda con i risultati che ci si aspetta in questo tipo di trasmissione è II-5.
Se anche voi avete delle domande o delle curiosità da soddisfare leggete qui e scrivetemi! Nel prossimo post vedremo altri esercizi! Tania Tanfoglio
Alberi genealogici da: Russell Peter J., Wolfe Stephen L., (2009), Elementi di genetica, Edises
e creati con il Software http://www.genopro.com/it/


