Concetto chiave
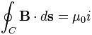
Leggendo Wikipedia, ci si rende conto che la legge di Ampère afferma che l’integrale lungo una linea chiusa C del campo magnetico B è uguale alla somma delle correnti elettriche concatenate a C moltiplicata per la costante di permeabilità magnetica del vuoto μ0:


Una corrente si dice concatenata al cammino ℒ se attraversa la
superficie che ha come contorno la linea ℒ. Nella figura al di sopra, la
corrente è concatenata al cammino ℒ1, ma non ai cammini ℒ2 e ℒ3.
Conseguenza
Questa legge sancisce il legame tra le correnti elettriche ed il campo magnetico da esse prodotto. Il fatto che tale integrale non sia nullo significa, per definizione, che il campo magnetico non è un campo conservativo, a differenza del campo elettrostatico o del campo gravitazionale.
Dimostrazione
(Da Wikipedia)
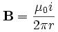
Per dimostrare la legge si parte dalla legge di Biot-Savart ossia l’espressione del campo magnetico prodotto da un filo di lunghezza indefinita. La legge di Biot-Savart:

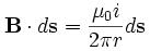
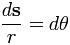
se consideriamo il campo lungo un tratto infinitesimo di una circonferenza di raggio r concentrica al filo si avrà:

Dato che

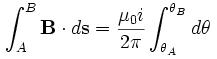
allora lungo un tratto finito AB si avrà:

Se estendiamo l’integrale ad un percorso chiuso C abbiamo due possibilità:
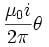
-la prima è che il percorso non concatena la corrente:

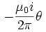
Infatti se scomponiamo l’integrale lungo la linea chiusa in due tratti AB e BA, l’integrale lungo AB è uguale ad


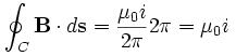
- Il secondo caso è quello in cui il percorso concatena la corrente:

In tal caso l’angolo percorso intorno al filo è proprio 2π per cui si giunge al risultato della legge di Ampère
Applicazione:

Grazie per il tuo tempo.






