Teorema:

Quali devono essere le condizioni sul carico ZL affinché il generatore trasferisce su di esso la massima potenza attiva?
Calcolo della potenza trasferita sul carico:

Per quale valore di R e X la funzione f è massima??
1.Sapendo che X di thevenin e del carico possono prendere valori positivi o negativi,si deduce che P sara massimo quando loro saranno opposti cioè:

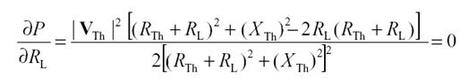
2.Sapendo questo ora deriviamo la nostra funzione rispetto a R. Annullando la derivata calcolata ,si trova il valore di R che corrisponde al massimo P:

Dopo un po’ di conti,abbiamo:

Conclusione del teorema:
Si ha la massima potenza trasferita sul carico quando :

Valore della potenza massima:

Caso particolare:il carico è una resistenza pura:

Calcolo della potenza trasferita sul carico:

Per quale valore di R la funzione f è massima??


Rendimento e utilità:

Il rendimento è del 50 % il che non è un rendimento soddisfacente.
Quindi non si può usare il massimo trasferimento di potenza attiva per sistemi elettrici per l’energia.
Nonostante questo ,il massimo trasferimento risulta una buona scelta per i sistemi elettrici per l’informazione.
Applicazione

1.Usiamo il metodo di Thevenin che ci permetterà di applicare il teorema di trasferimento massimo della potenza.
Scelgo due punti A e B:

Ora mi calcolo L’impedenza equivalente di Thevenin Zth:


2.Ora mi calcolo Vth:

Ora applico la formula:

Risultato: P= 8 W.

1.Usiamo il metodo di Thevenin che ci permetterà di applicare il teorema di trasferimento massimo della potenza.
Scelgo due punti A e B:

Ora mi calcolo L’impedenza equivalente di Thevenin Zth:

IL nostro carico è formato da una resistenza R e un induttore L,quindi:

2.Ora mi calcolo Vth:

Ora applico la formula:

Risultato: P= 2,5 mW.

