Passegua
I MIEI BLOG
-
L'Osmosi delle Idee
http://www.sinapsi.org/
Il Blog di Luvi e Daniele su scuola, matematica, viaggi, software, arte, fotografia e altro
ULTIMI ARTICOLI (661)
-
English Monstruo, impara l’inglese sul tablet
Otto giochi gratuiti aiuteranno i vostri studenti ad imparare le coniugazioni dei verbi inglesi.English Monstruo è un’applicazione, disponibile sia in versione... Leggere il seguito
Pubblicato il 10 gennaio 2014 SCUOLA -
Giochi flash anche con android 4.4.2
L’ultima versione di Android, la 4.4.2 ha precluso la possibilità di utilizzare Flash Player. Questo significa dire addio ai giochi Flash su smartphone e... Leggere il seguito
Pubblicato il 20 dicembre 2013 SCUOLA, TECNOLOGIA -
Dove si trova? Quiz geografico con punteggio
A questo indirizzo: http://backpacker-adventure-club.de/geo/, trovate un gioco geografico suddiviso in livelli di crescente difficoltà. Leggere il seguito
Pubblicato il 05 dicembre 2013 SCUOLA -
Metodo dell’ottagono per calcolare pi greco
Nel 1650 avanti Cristo, durante il regno di Aphophis, lo scriba Ahmes trascrisse minuziosamente su papiro una serie di nozioni geometriche e matematiche. Leggere il seguito
Pubblicato il 19 novembre 2013 SCUOLA -
Un ausilio per la dislessia: il Tachistoscopio
La dislessia è un disturbo che consiste nella difficoltà a leggere velocemente e ad alta voce.Viene classificata tra i Disturbi Specifici di Apprendimento ed è... Leggere il seguito
Pubblicato il 16 novembre 2013 CONSIGLI UTILI, MEDICINA, PSICOLOGIA, SCUOLA -
Conosco l’area e il rapporto tra i cateti, come trovo il perimetro?
Risolviamo insieme questo problema di geometria, inviatoci da un nostro lettore.Problema: Un triangolo rettangolo ha l’area di 756 cm2 e un cateto che è 7/24... Leggere il seguito
Pubblicato il 12 novembre 2013 SCUOLA -
BES Bisogni Educativi Speciali, risorse online
L’espressione “Bisogni Educativi Speciali” (BES) è entrata nel vasto uso in Italia dopo l’emanazione della Direttiva ministeriale del 27 dicembre 2012 “Strument... Leggere il seguito
Pubblicato il 09 novembre 2013 SCUOLA -
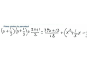
Come risolvere equazioni di primo grado
Una delle prove dell’esame di terza media comprende le equazioni.Utilizzando una tavoletta grafica, abbiamo registrato la correzione di sei equazioni di primo... Leggere il seguito
Pubblicato il 08 novembre 2013 SCUOLA -
Monosillabi accentati, ma quanti sono?
La Maestra Francesca Musco gestisce da anni un sito ricco di risorse dedicate all’informatica per la scuola primaria.Tra i tanti lavori proposti abbiamo scelto... Leggere il seguito
Pubblicato il 06 novembre 2013 SCUOLA -
Domande su parallele e perpendicolari
Alla nostra raccolta di quiz online, abbiamo aggiunto un nuovo questionario su parallele, perpendicolari, angoli interni, coniugati ecc.Avete 20 minuti per... Leggere il seguito
Pubblicato il 05 novembre 2013 SCUOLA -
Cryptolocker ti chiede un riscatto!
Siamo sicuri che tutti voi abbiate installato un buon antivirus.Come sapete ne esistono anche di completamente gratuiti (Avira, Avast, AVG), ma per essere... Leggere il seguito
Pubblicato il 03 novembre 2013 SCUOLA -
Trappola dei colori
Il nostro cervello funziona secondo automatismi difficili da controllare.Quando vediamo una parola ci viene spontaneo associarne il significato, anche se il... Leggere il seguito
Pubblicato il 02 novembre 2013 SCUOLA -
Somma le frazioni per ottenere l’intero
Trova le due frazioni complementari, rapidamente!Ma quali sono le frazioni complementari? Quelle che sommate tra loro danno come risultato l’intero, cioè 1/1 =... Leggere il seguito
Pubblicato il 31 ottobre 2013 SCUOLA -
Riconosci le parti del fiore
Sai riconoscere le varie parti di un fiore?Prova a trascinarle nella casella giusta. Leggi e impara a cosa servono gli stami, le antere, l’ovario, il polline e... Leggere il seguito
Pubblicato il 29 ottobre 2013 SCUOLA -
Conosci i principali fiumi europei?
Metti alla prova le tue conoscenze geografiche ed individua i principali fiumi che scorrono in Europa.Trascina il pallino che vedi sopra il nome del fiume... Leggere il seguito
Pubblicato il 24 ottobre 2013 SCUOLA -
Da Google composti chimici in 3D
Google da qualche giorno offre la visione di alcuni composti chimici in 3D.Le immagini sono interattive, significa che è possibile utilizzare il mouse per... Leggere il seguito
Pubblicato il 23 ottobre 2013 CURIOSITÀ, SCUOLA, TECNOLOGIA -
Moltiplicazioni senza fine, gioco didattico
Avete 200 secondi per completare questo esercizio di calcolo mentale.Cliccate rapidamente sulle due cifre che moltiplicate tra loro danno come risultato il... Leggere il seguito
Pubblicato il 22 ottobre 2013 SCUOLA, TALENTI -
Word Sense, arricchisci il tuo lessico inglese
Come ve la cavate con la Lingua Franca più diffusa nel mondo? Internet è affollato di dizionari, traduttori, elenchi di sinonimi e contrari gratuiti e... Leggere il seguito
Pubblicato il 10 ottobre 2013 SCUOLA -
Didattica con Escher
Dal 19 ottobre 2013 al 23 febbraio 2014 la Fondazione Palazzo Magnani di Reggio Emilia ospita un’ampia mostra antologica ed un ciclo di conferenze dedicate a... Leggere il seguito
Pubblicato il 09 ottobre 2013 SCUOLA -
Caratteri genetici legati al cromosoma X
Agli inizi del 1900, il genetista Thomas Hunt Morgan portò a termine ricerche fondamentali sui caratteri genetici legati a particolari cromosomi.In tal mod... Leggere il seguito
Pubblicato il 07 ottobre 2013 SCUOLA
