Passegua
I MIEI BLOG
-
L'Osmosi delle Idee
http://www.sinapsi.org/
Il Blog di Luvi e Daniele su scuola, matematica, viaggi, software, arte, fotografia e altro
ULTIMI ARTICOLI (661)
-
Precisazioni relative alle prove 2012 del SNV Invalsi
Fra pochi giorni inizieranno le prove del Servizio Nazionale di Valutazione 2012.Dopo la Nota sugli alunni con particolari bisogni educativi, l’Invalsi ha... Leggere il seguito
Pubblicato il 23 aprile 2012 SCUOLA -
Conoscere la dislessia
Filippo Barbera, insegnante di sostegno nella scuola primaria, ha reso disponibile in forma gratuita un suo libro recente dedicato ai DSA (disturbi specifici... Leggere il seguito
Pubblicato il 21 aprile 2012 SCUOLA -
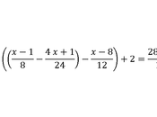
Verifichiamo il risultato dell’equazione
Ci è stato chiesto come verificare che la soluzione dell’equazione pubblicata sia corretta. Ricordiamo che per verificare un’equazione bisogna sostituire... Leggere il seguito
Pubblicato il 15 aprile 2012 SCUOLA -
Risolvere un’equazione con i denominatori
Un’altra equazione per alunni di terza media.Il filmato si carica in pochi istanti. Leggere il seguito
Pubblicato il 13 aprile 2012 SCUOLA -
Riconosci le forme con i diagrammi di Carroll
I Diagrammi di Carroll sono tabelle che visualizzano i dati suddivisi in categorie del tipo “sì / no” oppure “vero / falso”. Essi hanno questo nome in onore di... Leggere il seguito
Pubblicato il 06 aprile 2012 SCUOLA -
Trovare il lato del triangolo equilatero sapendone l’altezza
Molti studenti ci chiedono il procedimento per trovare il lato e quindi il perimetro e l’area del triangolo equilatero sapendo solo l’altezza. Qui sotto... Leggere il seguito
Pubblicato il 05 aprile 2012 SCUOLA -
29M Sciopero generale in Spagna
Barcellona, 29 Marzo Immagini dello sciopero generale che ha raggiunto punte altissime di adesione. (da El Pais) —– Technorati Tag:... Leggere il seguito
Pubblicato il 29 marzo 2012 SCUOLA -
Costruire un trapezio isoscele con GeoGebra
Un tutorial che spiega, un passo alla volta, come disegnare un trapezio isoscele di cui si conoscono le basi e l’altezza.Useremo GeoGebra, l’ottimo software... Leggere il seguito
Pubblicato il 25 marzo 2012 SCUOLA -
Pac-Mat, mangia i fantasmi numerati
Chi si ricorda il classico gioco mangia-fantasmi chiamato Pac-Man ?Eccone una versione aritmetica dove i fantasmi mangiabili sono solo quelli con la risposta... Leggere il seguito
Pubblicato il 20 marzo 2012 ANIMAZIONE -
Somma di vettori
Il sito PhET offre questa simulazione interattiva che insegna come calcolare la somma di due vettori.Prendete le frecce rosse dalla faretra e disponetele nel... Leggere il seguito
Pubblicato il 09 marzo 2012 SCUOLA -
Verifiche online di Matematica
Il portale della casa editrice De Agostini Scuola offre una serie di verifiche di allenamento in matematica per alunni dei primi anni delle scuole superiori. Leggere il seguito
Pubblicato il 08 marzo 2012 SCUOLA -
Africam, webcam puntata su parchi africani
Se state progettando un safari nel continente africano, date prima un’occhiata ad una delle webcam puntate sul Tembe Elephant Park o sul Nkorho Park. Leggere il seguito
Pubblicato il 23 febbraio 2012 SCUOLA -
Le migliori immagini scientifiche del 2011
Ogni anno la rivista Science e la National Science Foundation organizzano un concorso per selezionare le migliori immagini in ambito scientifico.Vi invitiamo... Leggere il seguito
Pubblicato il 22 febbraio 2012 SCUOLA -
L’uomo come palazzo industriale
Basandosi sul poster del 1927 “Der Mensch als Industriepalast” dell’artista tedesco Fritz Kahn,Henning M. Lederer ha realizzato questa animazione interattiva... Leggere il seguito
Pubblicato il 21 febbraio 2012 SCUOLA -
Biblioteca digitale mondiale
La Biblioteca digitale mondiale, inaugurata nel 2009, contiene già quasi 500 documenti relazionati con le culture di vari Paesi del mondo. Leggere il seguito
Pubblicato il 20 febbraio 2012 SCUOLA -
Tabelline sul grattacielo
Lava i vetri di questo altissimo grattacielo, ma solo quelli giusti!Un nuovo divertente gioco per rinforzare la conoscenza delle tabelline. Leggere il seguito
Pubblicato il 16 febbraio 2012 CURIOSITÀ -
Area e volume della sfera con SketchUp
Vediamo come SketchUp ci aiuta a visualizzare una sfera, la sua superficie e il suo volume.Iniziamo ripassando le formule:Adesso attendi che si carichi tutto... Leggere il seguito
Pubblicato il 13 febbraio 2012 SCUOLA -
Lezione interattiva per imparare l’anatomia
Spongelab ci presente un’attività chiamata “Build-a-Body” che ha ricevuto recentemente un premio prestigioso dalla National Science Foundation. Leggere il seguito
Pubblicato il 08 febbraio 2012 SCUOLA -
Trascrivere automaticamente formule matematiche
Abbiamo già segnalato vari metodi per riportare sul web formule e simboli matematici.Oggi illustriamo un interessante servizio online che riconosce la nostra... Leggere il seguito
Pubblicato il 07 febbraio 2012 SCUOLA -
Usare Excel online, gratuitamente
Anche se non abbiamo le applicazioni Microsoft Office possiamo utilizzarle online in modo del tutto gratuito.Basta possedere un indirizzo @hotmail. Leggere il seguito
Pubblicato il 06 febbraio 2012 SCUOLA
