Voi che amate preparate dei pancake e che quando li mettete sul fuoco, con grande abilità, li girate nella padella per far sì che cuociano a puntino. Ma voi lo sapete che su questo semplice gesto tre statistici dell’università di Nantes hanno scritto un articolo di ben 27 pagine intitolato “Pancake flipping is hard” uscito sul sito scientifico arXiv.org?
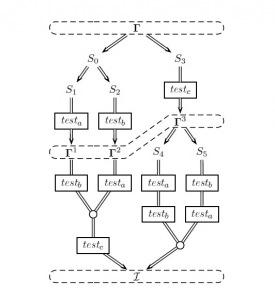
È un articolo bellissimo, ve lo dico io che non capisco niente di statistica, strapieno di formule matematiche o quel che sono. Ve ne proponiamo qualcuna. Provate a guardarle astraendovi dai significati e dai contenuti: non vi sembra che assurgano a opere d’arte?



Ingredienti:
300 g di farina;
300 ml di latte;
3 uova;
2 cucchiai di zucchero;
2 cucchiai di burro fuso;
1 pizzico di sale;
2 cucchiaini di lievito per dolci.
Procedimento:
Sbattere i tuorli con lo zucchero, aggiungere il burro fuso, il sale, il lievito e il latte. Quindi montare a neve gli albumi e aggiungerli delicatamente all’impasto.
Far sciogliere un poco di burro in una padellina. Versarvi 2-3 cucchiai di composto e lasciar cuocere. Quando il lato inferiore è abbastanza compatto e cotto, girare delicatamente, dopo, ovviamente, aver letto attentamente tutte e 27 le pagine della ricerca. E lasciar cuocere anche dall’altro lato.
Servire caldi abbondantemente cosparsi con sciroppo d’acero (o con Nutella, o con marmellata…).





